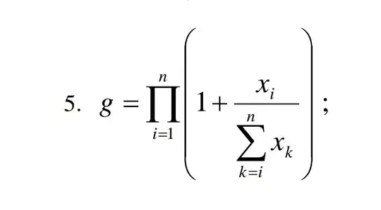
Как написать такую программу?
Написать программу решения задачи, используя функции:
в основной функции ввести с клавиатуры или вычислить с помощью генератора случайных чисел 10 элементов массива действительного типа и напечатать результат вычислений
в вспомогательной - вычислить скалярную величину, согласно варианта задания
Моя попытка:
import math
import random
def sum(k1,i1):
s=0
for k in range (k1,i1):
s=s+x[k]
return s
def pr (i1,ik):
p=1
for i in range (i1,ik):
z=sum(k1,i1)
if (z!=0):
g=p*(1+x[i]/z*x[k])
return p
i1=int(input())
ik=int(input())
k1=int(input())
X=[]
for i in range (10):
a=random.randint(0,10)
X.append(a)
g=pr(i1,ik)
print("Massiv X")
print (X)
print("g=",g)

X = [random.randint(0,10) for i in range(10)]– gil9red May 20 '18 at 16:34