Есть задача:
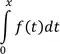
Реализовать функцию (оператор), принимающую аргументом функцию от одной переменной f и возвращающую функцию одной переменной, вычисляющую (численно) выражение:
Оптимизировать с использованием мемоизации для задач типа построения графиков (т.е. многократный вызов функции в разных точках) Использовать метод трапеций с постоянным шагом.
(defn trapeze [f x1 x2]
(*
(/
(+ (f x1) (f x2))
2)
(Math/abs (- x2 x1))))
(defn integrate [f delta]
(let [f_memo f
generate (fn [sum [x1 integral]]
(let [x2 (sum x1 delta)]
[x2 (+ integral (trapeze f_memo x1 x2))]))
seq_pos (map first (iterate (partial generate +) [0 0]))
seq_neg (map first (iterate (partial generate -) [0 0]))]
(fn [x]
(let [seq (if (pos? x) seq_pos seq_neg)
sign (if (neg? x) -1 1)
x (Math/abs x)
steps (quot x delta)
tail (mod x delta)]
(+
(nth seq steps)
(trapeze f_memo
(* sign (- x tail))
(* sign x)))
))))
Есть проблема с выделенной частью задачи - не могу разобраться с мемоизацией. Кто знает как правильно вынести вычисление частичных сумм и мемоизировать это?
